题目内容
已知函数(1)判断函数f(x)的单调性,并证明;
(2)若f(x)为奇函数,求实数a的值;
(3)在(2)的条件下,解不等式:
【答案】分析:(1)由
,知x∈R,利用定义法能证明f(x)在R上单调递增.
(2)由函数
为奇函数,知f(0)=0,由此能求出a.
(3)由f(x)为奇函数,
,知f(
)>-f(1)=f(-1),由f(x)在R上单调递增,知
,由此能求出不等式:
的解.
解答:解:(1)函数f(x)是增函数.下用定义法证明:
∵
,∴x∈R,
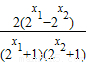
在R内任取x1,x2,令x1<x2,
则f(x1)-f(x2)=a-
-(a-
)
=
>0,
∴f(x)在R上单调递增.
(2)∵函数
为奇函数,
∴f(0)=a-
=a-1=0,
解得a=1.
(3)∵f(x)为奇函数,
,
∴f(
)>-f(1)=f(-1),
∵f(x)在R上单调递增,
∴
,解得0<x<4.
∴不等式:
的解集为{x|0<x<4}.
点评:本题考查函数单调性的判断,考查函数的奇偶性和单调性的应用,考查不等式的解法.解题时要认真审题,仔细解答.
(2)由函数
(3)由f(x)为奇函数,
解答:解:(1)函数f(x)是增函数.下用定义法证明:
∵
在R内任取x1,x2,令x1<x2,
则f(x1)-f(x2)=a-
=
∴f(x)在R上单调递增.
(2)∵函数
∴f(0)=a-
解得a=1.
(3)∵f(x)为奇函数,
∴f(
∵f(x)在R上单调递增,
∴
∴不等式:
点评:本题考查函数单调性的判断,考查函数的奇偶性和单调性的应用,考查不等式的解法.解题时要认真审题,仔细解答.
练习册系列答案
相关题目