题目内容

已知函数
(1)f(x)为定义域上的单调函数,求实数m的取值范围;
(2)当m=-1时,求函数f(x)的最大值;
(3)当m=1时,且1≥a>b≥0,证明:
【答案】分析:(1)先求出函数的定义域,求导函数,根据定义域得到函数的导函数小于0不能恒成立,所以只能整理导函数大于0恒成立,分离参数得到结论;
(2)求导函数,确定函数的单调性,从而确定函数的极值与最值;
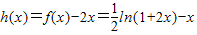
(3)当m=1时,构造新函数g(x),对新函数求导,得到新函数在[0,1]上递增,利用递增函数的定义,写出递增所满足的条件,再构造新函数h(x),同理得到函数在[0,1]上递减,得到递减的条件,得到结论.
解答:(1)解:函数的定义域为(-,+∞)
求导函数可得f′(x)=+m.
∵x>-,∴>0,∴不存在实数m,使f′(x)=+m<0对x>-恒成立,
由f′(x)=+m≥0对x>-恒成立得,m≥对x>-恒成立
<0,故m≥0
经检验,当m≥0时,对x>-恒成立
∴当m≥0时,f(x)为定义域上的单调递增函数.
(2)解:当m=-1时,由f′(x)=-1=0,可得x=0
当x∈时,f′(x)>0;当x∈(0+∞)时,f′(x)<0
∴函数f(x)在x0时取得最大值,最大值为f(0)=0
(3)证明:当m=1时,令
在[0,1]上总有g′(x)≥0,即g(x)在[0,1]上递增
∴当1≥a>b≥0时,g(a)>g(b),即

由(2)知它在[0,1]上递减,
∴h(a)<h(b)

综上所述,当m=1,且1≥a>b≥0时,
点评:本题考查导数知识的运用,考查根据需要构造新函数,考查递增函数的定义,考查函数的恒成立问题,考查解决问题的能力和分析问题的能力,是一个中档题.
练习册系列答案
相关题目

违法和不良信息举报电话:027-86699610 举报邮箱:58377363@163.com

精英家教网