题目内容
方程x2+(m-2)x+5-m=0的两根都大于2,则m的取值范围是( )A.(-5,-4]
B.(-∞,-4]
C.(-∞,-2]
D.(-∞,-5)∪(-5,-4]
【答案】分析:方程x2+(m-2)x+5-m=0的两根都大于2,则其相应的函数f(x)=x2+(m-2)x+5-m与x轴的两个交点都在直线x=2的右边,由图象的特征知应有对称轴大于2,f(2)>0,且△≥0,解此三式组成的方程组即可求出参数m的范围.
解答:解:令f(x)=x2+(m-2)x+5-m,其对称轴方程为x=
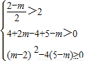
由已知方程x2+(m-2)x+5-m=0的两根都大于2,故有
即
解得-5<m≤-4
m的取值范围是(-5,-4]
故应选A.
点评:本题考点是一元二次方程根的分布与系数的关系,考查知道了一元二次方程根的特征,将其转化为方程组解参数范围的能力,本题解题技巧是数形结合,借助图象转化出不等式组,此是这一类题的常用方法.
解答:解:令f(x)=x2+(m-2)x+5-m,其对称轴方程为x=
由已知方程x2+(m-2)x+5-m=0的两根都大于2,故有
即
m的取值范围是(-5,-4]
故应选A.
点评:本题考点是一元二次方程根的分布与系数的关系,考查知道了一元二次方程根的特征,将其转化为方程组解参数范围的能力,本题解题技巧是数形结合,借助图象转化出不等式组,此是这一类题的常用方法.
练习册系列答案
相关题目