题目内容
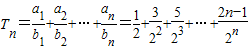
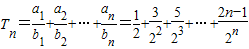
已知等差数列{an}满足:an+1>an(n∈N*),a1=1,该数列的前三项分别加上1,1,3后顺次成为等比数列{bn}的前三项.(Ⅰ)分别求数列{an},{bn}的通项公式an,bn;
(Ⅱ)设
【答案】分析:(Ⅰ)设d、q分别为数列{an}、数列{bn}的公差与公比,a1=1.由题可知,a1=1,a2=1+d,a3=1+2d,分别加上1,1,3后得2,2,+d,4+2d是等比数列{bn}的前三项,从而可得(2+d)2=2(4+2d),根据an+1>an,可确定公差的值,从而可求数列{an}的通项,进而可得公比q,故可求{bn}的通项公式
(Ⅱ)表示出
,利用错位相减法求和,进而问题可转化为
恒成立,利用
在N*是单调递增的,即可求得c的最小值.
解答:解:(Ⅰ)设d、q分别为数列{an}、数列{bn}的公差与公比,a1=1.
由题可知,a1=1,a2=1+d,a3=1+2d,分别加上1,1,3后得2,2,+d,4+2d是等比数列{bn}的前三项,
∴(2+d)2=2(4+2d)⇒d=±2.
∵an+1>an,
∴d>0.
∴d=2,
∴an=2n-1(n∈N*).
由此可得b1=2,b2=4,q=2,
∴bn=2n(n∈N*).
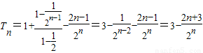
(Ⅱ)
,①
∴
.②
①-②,得
.
∴
.
∴
.
∵
在N*是单调递增的,
∴
.
∴
∴满足条件
恒成立的最小整数值为c=3.
点评:本题以等差数列与等比数列为载体,考查数列通项公式的求解,考查数列与不等式的综合,考查错位相减法求数列的和,综合性强
(Ⅱ)表示出
解答:解:(Ⅰ)设d、q分别为数列{an}、数列{bn}的公差与公比,a1=1.
由题可知,a1=1,a2=1+d,a3=1+2d,分别加上1,1,3后得2,2,+d,4+2d是等比数列{bn}的前三项,
∴(2+d)2=2(4+2d)⇒d=±2.
∵an+1>an,
∴d>0.
∴d=2,
∴an=2n-1(n∈N*).
由此可得b1=2,b2=4,q=2,
∴bn=2n(n∈N*).
(Ⅱ)
∴
①-②,得
∴
∴
∵
∴
∴
∴满足条件
点评:本题以等差数列与等比数列为载体,考查数列通项公式的求解,考查数列与不等式的综合,考查错位相减法求数列的和,综合性强
练习册系列答案
相关题目