搜索
题目内容
已知sinα=
,α∈
,tanβ=
,
(Ⅰ)求tanα的值;
(Ⅱ)求tan(α+2β)的值。
试题答案
相关练习册答案
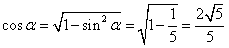
解:(Ⅰ)∵
,
∴
,
∴
;
(Ⅱ)
,
∴
,
∴
。
练习册系列答案
课课练与单元测试系列答案
世纪金榜小博士单元期末一卷通系列答案
单元测试AB卷台海出版社系列答案
黄冈新思维培优考王单元加期末卷系列答案
名校名师夺冠金卷系列答案
小学英语课时练系列答案
培优新帮手系列答案
天天向上一本好卷系列答案
小学生10分钟应用题系列答案
课堂作业广西教育出版社系列答案
相关题目
已知sin(
π
4
+x)=
5
5
,且
π
4
<x
<
3π
4
,则sin(
π
4
-x)=
.
已知sin(3π+α)=lg
1
3
10
,则
cos(π+α)
cosα[cos(π-α)-1]
+
cos(α-2π)
cosαcos(π-α)+cos(α-2π)
的值为
.
已知sinθ=
1-a
1+a
,cosθ=
3a-1
1+a
,若θ是第二象限角,求实数a的值.
已知sin(α+β)=-
3
5
,cos(α-β)=
12
13
,且
π
2
<β<α<
3π
4
,求sin2α.
已知sinα=
-
1
2
且α是第三象限角,求cosα、tanα的值.
关 闭
试题分类
高中
数学
英语
物理
化学
生物
地理
初中
数学
英语
物理
化学
生物
地理
小学
数学
英语
其他
阅读理解答案
已回答习题
未回答习题
题目汇总
试卷汇总
练习册解析答案