题目内容
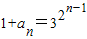
已知a1=2,点(an,an+1)在函数f(x)=x2+2x的图象上,其中n=1,2,3,…(1)证明:数列{lg(1+an)}是等比数列,并求数列{an}的通项公式;
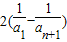
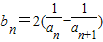
(2)记bn=
【答案】分析:(1)由已知
,化为
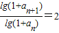
,由于an+1>1,两边取对数得 lg(1+an+1)=2lg(1+an),即可转化为等比数列,进而得出;
(2)利用“裂项求和”即可得出.
解答:(1)证明:由已知
,∴
,
∵a1=2,∴an+1>1,两边取对数得 lg(1+an+1)=2lg(1+an),即
,
∴{lg(1+an)}是公比为2的等比数列.
∴
=
,
∴
(*).
由(*)式得
.
(2)∵
,
∴an+1=an(an+2),
∴
,
∴
,
又
,
∴
.
∴Sn=b1+b2+…+bn
=
=
.
∵
,
∴
.
点评:熟练掌握利用取对数法把已知转化为等比数列问题求解、等比数列的定义及其通项公式、“裂项求和”法等是解题的关键.
(2)利用“裂项求和”即可得出.
解答:(1)证明:由已知
∵a1=2,∴an+1>1,两边取对数得 lg(1+an+1)=2lg(1+an),即
∴{lg(1+an)}是公比为2的等比数列.
∴
∴
由(*)式得
(2)∵
∴an+1=an(an+2),
∴
∴
又
∴
∴Sn=b1+b2+…+bn
=
=
∵
∴
点评:熟练掌握利用取对数法把已知转化为等比数列问题求解、等比数列的定义及其通项公式、“裂项求和”法等是解题的关键.
练习册系列答案
相关题目