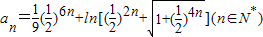
题目内容
设函数(Ⅰ) 讨论函数f(x)的单调性;
(Ⅱ)若x≥0时,恒有f(x)≤ax3,试求实数a的取值范围;
(Ⅲ)令
【答案】分析:(I)先求导数,再求出f'(x)>0时x的范围;并且求出f'(x)<0时x的范围;进而解决单调性问题.
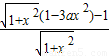
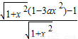
(II)令g(x)=f(x)-ax3=x-ln(x+
)-ax3.则g′(x)=
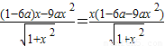
,令h(x)=
,求其导数,下面对a进行分类讨论:(1)当a≥
时,(2)当0<a<
时,(3)当a≤0时,h′(x)>0,最后综合得出实数a的取值范围.
(III)在(II)中取a=
,则x∈[0,
],时,x-ln(x+
)>
x3,即
x3+ln(x+
)<x,令x=(
)2n,利用等比数列求和公式即可证明结论.
解答:解:(I)函数的定义域为R,
由于f′(x)=1-
≥0,
知f(x)是R上的增函数.
(II)令g(x)=f(x)-ax3=x-ln(x+
)-ax3.
则g′(x)=
,
令h(x)=
,
则h′(x)=
,
(1)当a≥
时,h′(x)≤0,从而h(x)是[0,+∞)上的减函数,因h(0)=0,则x≥0时,h(x)≤0,也即g′(x)≤0,进而g(x)是[0,+∞)上的减函数,
注意g(0)=0,则x≥0时,g(x)≤0,也即f(x)≤ax3,
(2)当0<a<
时,在[0,
],h′(x)>0,从而x∈[0,
]时,也即f(x)>ax3,
(3)当a≤0时,h′(x)>0,同理可知:f(x)>ax3,
综合,实数a的取值范围[
,+∞).
(III)在(II)中取a=
,则x∈[0,
],时,x-ln(x+
)>
x3,即
x3+ln(x+
)<x,
令x=(
)2n,则
<(
)2n,
∴
点评:本小题主要考查导数在最大值、最小值问题中的应用、数列与函数的综合等基础知识,考查运算求解能力,考查化归与转化思想.解决此类问题的关键是熟练掌握求导该生并且利用导数解决函数的单调区间问题.
(II)令g(x)=f(x)-ax3=x-ln(x+
(III)在(II)中取a=
解答:解:(I)函数的定义域为R,
由于f′(x)=1-
知f(x)是R上的增函数.
(II)令g(x)=f(x)-ax3=x-ln(x+
则g′(x)=
令h(x)=
则h′(x)=
(1)当a≥
注意g(0)=0,则x≥0时,g(x)≤0,也即f(x)≤ax3,
(2)当0<a<
(3)当a≤0时,h′(x)>0,同理可知:f(x)>ax3,
综合,实数a的取值范围[
(III)在(II)中取a=
令x=(
∴
点评:本小题主要考查导数在最大值、最小值问题中的应用、数列与函数的综合等基础知识,考查运算求解能力,考查化归与转化思想.解决此类问题的关键是熟练掌握求导该生并且利用导数解决函数的单调区间问题.
练习册系列答案
相关题目