题目内容
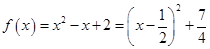
函数
,则下列关系中一定正确的是
A.
B.
C.
D.
【答案】
C
【解析】
试题分析:因为
,所以对称轴
,所以![]()
又图象开口向上.
,所以![]()
考点:二次函数的性质,单调性.
练习册系列答案
相关题目
给出下列三个函数图象:它们对应的函数表达式分别满足下列性质中的至少一条:①对任意实数x,y都有
f(xy)=f(x)f(y)成立;②对任意实数x,y都有
=f(y)成立;③对任意实数x,y都有f(x+y)=f(x)+f(y)成立;则下列对应关系最恰当的是( )

f(xy)=f(x)f(y)成立;②对任意实数x,y都有
| f(x+y) |
| f(x) |
| A、a和①,b和②,c和③, |
| B、c和①,b和②,a和③ |
| C、c和①,a和②,b和③ |
| D、b和①,c和②,a和③, |
给出下列三个函数的图象:

它们对应的函数表达式分别满足下列性质中的至少一条:
①对任意实数x,y都有f(xy)=f(x)f(y)成立;
②对任意实数x,y都有
=f(y)成立;
③对任意实数x,y都有f(x+y)=f(x)+f(y)成立;
④对任意实数x都有f(x+2)=f(x+1)-f(x)成立.
则下列对应关系最恰当的是( )
它们对应的函数表达式分别满足下列性质中的至少一条:
①对任意实数x,y都有f(xy)=f(x)f(y)成立;
②对任意实数x,y都有
| f(x+y) |
| f(x) |
③对任意实数x,y都有f(x+y)=f(x)+f(y)成立;
④对任意实数x都有f(x+2)=f(x+1)-f(x)成立.
则下列对应关系最恰当的是( )
| A、b和① | B、c和② |
| C、a和④ | D、以上说法都不正确 |
给出下列四个函数图象:
它们对应的函数表达式分别满足下列性质中的至少一条:
①对任意实数x,y都有f(xy)=f(x)f(y)成立;
②对任意实数x,y都有
=f(y)成立;
③对任意实数x,y都有f(x+y)=f(x)+f(y)成立;
④对任意实数x都有2f(x+2)=f(x+1)-f(x)成立.则下列对应关系最恰当的是( )
它们对应的函数表达式分别满足下列性质中的至少一条:
①对任意实数x,y都有f(xy)=f(x)f(y)成立;
②对任意实数x,y都有
| f(x+y) |
| f(x) |
③对任意实数x,y都有f(x+y)=f(x)+f(y)成立;
④对任意实数x都有2f(x+2)=f(x+1)-f(x)成立.则下列对应关系最恰当的是( )
| A、a和①,d和②,c和③,b和④ |
| B、c和①,b和②,a和③,d和④ |
| C、c和①,d和②,a和③,b和④ |
| D、b和①,c和②,a和③,d和④ |