题目内容
双曲线mx2+y2=1的虚轴长是实轴长的2倍,则m=( )A.
B.-4
C.4
D.
【答案】分析:由双曲线mx2+y2=1的虚轴长是实轴长的2倍,可求出该双曲线的方程,从而求出m的值.
解答:解:双曲线mx2+y2=1的虚轴长是实轴长的2倍,
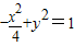
∴m<0,且双曲线方程为
,
∴m=
,
故选A.
点评:本题考查双曲线性质的灵活运用,比较简单,需要注意的是m<0.
解答:解:双曲线mx2+y2=1的虚轴长是实轴长的2倍,
∴m<0,且双曲线方程为
∴m=
故选A.
点评:本题考查双曲线性质的灵活运用,比较简单,需要注意的是m<0.
练习册系列答案
相关题目
双曲线mx2+y2=1的虚轴长是实轴长的2倍,则m=( )
A、-
| ||
| B、-4 | ||
| C、4 | ||
D、
|