题目内容
在数列{an}中,a1=1,3anan-1+an-an-1=0(n≥2,n∈N*)。
(1)试判断数列
是否成等差数列;
(2)设{bn}满足bn=anan+1,求数列{bn}的前n项和Sn;
(3)若λan+
≥λ对任意n≥2的整数恒成立,求实数λ的取值范围。
(1)试判断数列
(2)设{bn}满足bn=anan+1,求数列{bn}的前n项和Sn;
(3)若λan+
解:(1)由已知可得
(n≥2)
故数列{
}是等差数列。
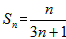
(2)
;
(3)将
代入
并整理得
≤3n+1
∴
原命题等价于该式对n≥2恒成立
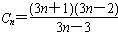
设
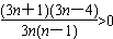
则Cn+1-Cn=
,Cn+1>Cn
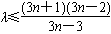
∵n=2时,Cn的最小值C2为
∴λ的取值范围是(-∞,
]。
故数列{
(2)
(3)将
∴
原命题等价于该式对n≥2恒成立
设
则Cn+1-Cn=
∵n=2时,Cn的最小值C2为
∴λ的取值范围是(-∞,
练习册系列答案
相关题目