题目内容
已知各项均不为零的数列{an},定义向量A.若?n∈N*总有
B.若?n∈N*总有
C.若?n∈N*总有
D.若?n∈N*总有
【答案】分析:由题意根据向量平行的坐标表示可得nan+1=(n+1)an.⇒
⇒an=na1,从而可进行判断.
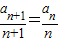
解答:解:由
可得,nan+1=(n+1)an,即
,
∴
于是an=na1,
故选A
点评:本题主要考查了向量平行的坐标表示,等差及等比数列的判断,属于基础试题.
解答:解:由
∴
于是an=na1,
故选A
点评:本题主要考查了向量平行的坐标表示,等差及等比数列的判断,属于基础试题.
练习册系列答案
相关题目
已知各项均不为零的数列{an},定义向量
=(an,an+1),
=(n,n+1),n∈N*.下列命题中真命题是( )
| cn |
| bn |
A、若?n∈N*总有
| ||||
B、若?n∈N*总有
| ||||
C、若?n∈N*总有
| ||||
D、若?n∈N*总有
|