题目内容
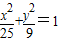
已知A(4,0),B(2,2),M为椭圆
【答案】分析:确定为椭圆的焦点,利用椭圆的第二定义,从而可得MB垂直于准线时,
取得最小值.
解答:解:椭圆
中a=5,b=3,所以c=4,所以A为椭圆的焦点
设M到右准线的距离为d,则由椭圆的第二定义可得,
∴d=
∴
=d+|MB|
∴MB垂直于准线时,
取得最小值
∵右准线方程为x=
=
∴
的最小值为
=
故答案为:
点评:本题考查椭圆的性质,考查椭圆的第二定义,考查学生的计算能力,属于基础题.
解答:解:椭圆
设M到右准线的距离为d,则由椭圆的第二定义可得,
∴d=
∴
∴MB垂直于准线时,
∵右准线方程为x=
∴
故答案为:
点评:本题考查椭圆的性质,考查椭圆的第二定义,考查学生的计算能力,属于基础题.
练习册系列答案
相关题目