题目内容
若椭圆C:(1)求椭圆C的方程;
(2)设点M(2,0),点Q是椭圆上一点,当|MQ|最小时,试求点Q的坐标;
(3)设P(m,0)为椭圆C长轴(含端点)上的一个动点,过P点斜率为k的直线l交椭圆与A,B两点,若|PA|2+|PB|2的值仅依赖于k而与m无关,求k的值.
【答案】分析:(1)先求出焦点的坐标,再由离心率求得半长轴的长,从而得到短半轴长,即可写出椭圆的标准方程;
(2)用坐标表示出|MQ|2,利用配方法可得结论;
(3)设出直线方程,代入椭圆方程,利用韦达定理,表示出|PA|2+|PB|2,根据|PA|2+|PB|2的值仅依赖于k而与m无关,可得等式,从而可求k的值.
解答:解:(1)由题意可得:抛物线y2=-12x的焦点(-3,0),
∵
=
,∴a=5,∴
=4
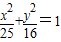
∴椭圆C的方程为
;
(2)设Q(x,y),-5≤x≤5
∴|MQ|2=(x-2)2+y2=
∵对称轴为x=
>5,∴x=5时,|MQ|2取得最小值
∴当|MQ|最小时,点Q的坐标为(5,0);
(3)设A(x1,y1),B(x2,y2),直线l:y=k(x-m)
直线代入椭圆方程,消去y可得(25k2+16)x2-50mk2x+25m2k2-400=0
∴x1+x2=
,x1x2=
∴y1+y2=k(x1+x2)-2km=-
,y1y2=
∴|PA|2+|PB|2=
+
=(k2+1)•
∵|PA|2+|PB|2的值仅依赖于k而与m无关,
∴512-800k2=0,解得k=
.
点评:本题考查椭圆的标准方程,考查配方法的运用,考查直线与椭圆的位置关系,考查学生的计算能力,正确运用韦达定理是关键.
(2)用坐标表示出|MQ|2,利用配方法可得结论;
(3)设出直线方程,代入椭圆方程,利用韦达定理,表示出|PA|2+|PB|2,根据|PA|2+|PB|2的值仅依赖于k而与m无关,可得等式,从而可求k的值.
解答:解:(1)由题意可得:抛物线y2=-12x的焦点(-3,0),
∵
∴椭圆C的方程为
(2)设Q(x,y),-5≤x≤5
∴|MQ|2=(x-2)2+y2=
∵对称轴为x=
∴当|MQ|最小时,点Q的坐标为(5,0);
(3)设A(x1,y1),B(x2,y2),直线l:y=k(x-m)
直线代入椭圆方程,消去y可得(25k2+16)x2-50mk2x+25m2k2-400=0
∴x1+x2=
∴y1+y2=k(x1+x2)-2km=-
∴|PA|2+|PB|2=
∵|PA|2+|PB|2的值仅依赖于k而与m无关,
∴512-800k2=0,解得k=
点评:本题考查椭圆的标准方程,考查配方法的运用,考查直线与椭圆的位置关系,考查学生的计算能力,正确运用韦达定理是关键.
练习册系列答案
相关题目