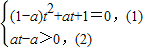
题目内容
已知函数(I)求k的值;
(II)若方程
【答案】分析:(Ⅰ)根据偶函数可知f(x)=f(-x),取x=-1代入即可求出k的值;
(Ⅱ)根据方程
有且只有一个实根,化简可得
有且只有一个实根,令t=2x>0,则转化成新方程有且只有一个正根,结合函数的图象讨论a的取值,即可求出实数a的取值范围.
解答:解:(I) 由题意得f(-x)=f(x),
即
,
化简得
,…(2分)
从而4(2k+1)x=1,此式在x∈R上恒成立,
∴
…(6分)
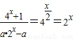
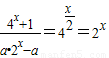
(II)由题意,原方程化为
且a•2x-a>0
即:令2x=t>0
…(8分)
函数y=(1-a)t2+at+1的图象过定点(0,1),(1,2)如图所示:
若方程(1)仅有一正根,只有如图的三种情况,
可见:a>1,即二次函数y=(1-a)t2+at+1的
开口向下都可,且该正根都大于1,满足不等式(2),…(10分)
当二次函数y=(1-a)t2+at+1的开口向上,
只能是与x轴相切的时候,
此时a<1且△=0,即
也满足不等式(2)
综上:a>1或
…(12分)
点评:本题主要考查了偶函数的性质,以及对数函数图象与性质的综合应用,同时考查了分类讨论的思想,数形结合的思想.属于中档题.
(Ⅱ)根据方程
解答:解:(I) 由题意得f(-x)=f(x),
即
化简得
从而4(2k+1)x=1,此式在x∈R上恒成立,
∴
(II)由题意,原方程化为
即:令2x=t>0
函数y=(1-a)t2+at+1的图象过定点(0,1),(1,2)如图所示:
若方程(1)仅有一正根,只有如图的三种情况,
可见:a>1,即二次函数y=(1-a)t2+at+1的
开口向下都可,且该正根都大于1,满足不等式(2),…(10分)
当二次函数y=(1-a)t2+at+1的开口向上,
只能是与x轴相切的时候,
此时a<1且△=0,即
综上:a>1或
点评:本题主要考查了偶函数的性质,以及对数函数图象与性质的综合应用,同时考查了分类讨论的思想,数形结合的思想.属于中档题.
练习册系列答案
相关题目