题目内容
已知公差不为0的等差数列{an}的首项a1(a1∈R),且(Ⅰ)求数列{an}的通项公式;
(Ⅱ)对n∈N*,试比较
【答案】分析:(Ⅰ)由
,
,
成等比数列,利用等比数列的性质及等差数列的通项公式列出关于首项和公差的方程,根据公差d不为0,解得公差d与首项相等,然后根据首项和公差写出数列的通项公式即可;
(Ⅱ)设Tn=
与根据(Ⅰ)中求得的通项公式表示出a2,然后利用等比数列的前n项和的公式表示出Tn,即可比较出两者的大小关系.
解答:解:(Ⅰ)设等差数列{an}的公差为d,由题意可知
=
×
,
即(a1+d)2=a1(a1+3d),从而a1d=d2,
因为d≠0,所以d=a1,
故an=nd=na1;
(Ⅱ)记Tn=
+
+…+
,由a2=2a1,
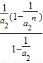
所以Tn=
=
=
,
从而,当a1>1时,Tn<
;当a1<1时,Tn>
.
点评:此题考查学生掌握等比数列的性质,利用运用等比数列的通项公式及前n项和的公式化简求值,是一道中档题.
(Ⅱ)设Tn=
解答:解:(Ⅰ)设等差数列{an}的公差为d,由题意可知
即(a1+d)2=a1(a1+3d),从而a1d=d2,
因为d≠0,所以d=a1,
故an=nd=na1;
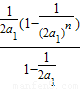
(Ⅱ)记Tn=
所以Tn=
从而,当a1>1时,Tn<
点评:此题考查学生掌握等比数列的性质,利用运用等比数列的通项公式及前n项和的公式化简求值,是一道中档题.
练习册系列答案
相关题目