题目内容
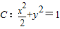
已知F1为椭圆
【答案】分析:由椭圆方程求出F1点的坐标,联立方程组求出A、B两点,然后利用两点间断距离公式求出|F1A|+|F1B|的值.
解答:解:把y=x-1代入椭圆
,并整理,得3x2-4x=0,
解得x1=0,y1=-1,
,
∴
,F1(-1,0),
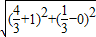
∴|F1A|+|F1B|=
+
=
.
故答案为:
.
点评:本题考查直线和椭圆的位置关系,解题时要认真审题,仔细挖掘题设中的隐含条件.
解答:解:把y=x-1代入椭圆
解得x1=0,y1=-1,
∴
∴|F1A|+|F1B|=
=
故答案为:
点评:本题考查直线和椭圆的位置关系,解题时要认真审题,仔细挖掘题设中的隐含条件.
练习册系列答案
相关题目