题目内容

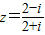
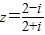
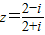
复数(i是虚数单位)的虚部是( )
A.
B.
C.
D.
【答案】分析:利用两个复数代数形式的乘除法法则运算复数z为,从而求得复数(i是虚数单位)的虚部.
解答:解:∵复数==,故复数(i是虚数单位)的虚部是
故选 D.
点评:本题主要考查复数的基本概念,两个复数代数形式的乘除法,属于基础题.
练习册系列答案
相关题目

违法和不良信息举报电话:027-86699610 举报邮箱:58377363@163.com

精英家教网