题目内容
已知函数f(x)=x2﹣ax+a(a∈R)同时满足:①不等式f(x)≤0 的解集有且只有一个元素;②在定义域内存在0<x1<x2,使得不等式f(x1)>f(x2)成立.设数列{an}的前n项和为Sn=f(n).
(1)求数列{an}的通项公式;
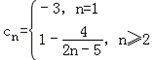
(2)设各项均不为零的数列{cn}中,所有满足ci﹣ci+1<0的正整数i的个数称为这个数列{cn}的变号数,令cn=1﹣
(n为正整数),求数列{cn}的变号数.
(1)求数列{an}的通项公式;
(2)设各项均不为零的数列{cn}中,所有满足ci﹣ci+1<0的正整数i的个数称为这个数列{cn}的变号数,令cn=1﹣
解:(1)∵f(x)≤0的解集有且只有一个元素,
∴△=a2﹣4a=0
∴a=0或4,
当a=0时,函数f(x)=x2在(0,+∞)上递增,
故不存在0<x1<x2,使得不等式f(x1)>f(x2)成立;
当a=4时,函数f(x)=x2﹣4x+4在(0,2)上递减,
故存在0<x1<x2,使得不等式f(x1)>f(x2)成立.
综上,得a=4,f(x)=x2﹣4x+4,∴Sn=n2﹣4n+4
n≥2 时,an=Sn﹣Sn﹣1=2n﹣5,n=1 时,a1=1
∴an=
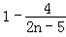
(2)∵cn=1﹣
,
∴
∵n≥3时,Cn+1﹣Cn=
>0,
∴n≥3时,数列{cn}递增,
∵a4=﹣
<0,由
>0
n≥5,可知a4﹣a5<0,即n≥3时,有且只有1个变号数;
又∵C1=﹣3,C2=﹣5,C3=﹣3,即C1﹣C2<0,C2﹣C3<0,
∴此处变号数有2个.
综上得数列共有3个变号数,即变号数为3.
∴△=a2﹣4a=0
∴a=0或4,
当a=0时,函数f(x)=x2在(0,+∞)上递增,
故不存在0<x1<x2,使得不等式f(x1)>f(x2)成立;
当a=4时,函数f(x)=x2﹣4x+4在(0,2)上递减,
故存在0<x1<x2,使得不等式f(x1)>f(x2)成立.
综上,得a=4,f(x)=x2﹣4x+4,∴Sn=n2﹣4n+4
n≥2 时,an=Sn﹣Sn﹣1=2n﹣5,n=1 时,a1=1
∴an=
(2)∵cn=1﹣
∴
∵n≥3时,Cn+1﹣Cn=
∴n≥3时,数列{cn}递增,
∵a4=﹣
n≥5,可知a4﹣a5<0,即n≥3时,有且只有1个变号数;
又∵C1=﹣3,C2=﹣5,C3=﹣3,即C1﹣C2<0,C2﹣C3<0,
∴此处变号数有2个.
综上得数列共有3个变号数,即变号数为3.
练习册系列答案
相关题目
| π |
| 2 |
A、f(x)=2sin(πx+
| ||
B、f(x)=2sin(2πx+
| ||
C、f(x)=2sin(πx+
| ||
D、f(x)=2sin(2πx+
|