题目内容
在△ABC中,内角A、B、C所对边长分别为a、b、c,已知a2-c2=b,且sinAcosC=3cosAsinC,则b= .
【答案】分析:解法一:利用余弦定理分别表示出cosC和cosA,并利用正弦定理化简已知的等式sinAcosC=3cosAsinC,将表示出cosC和cosA代入,整理后再将a2-c2=b代入,可得出关于b的方程,求出方程的解即可得到b的值;
解法二:由余弦定理得a2=b2+c2-2bccosA,变形后将a2-c2=b代入,再根据b不为0,两边除以b后,得到一个关系式,记作①,将sinAcosC=3cosAsinC两边都加上cosAsinC,左边利用两角和与差的正弦函数公式化简,再利用诱导公式变形,并根据正弦定理化简后,得到另外一个关系式,记作②,联立①②就求出b的值.
解答:解:法一:在△ABC中∵sinAcosC=3cosAsinC,
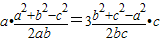
则由正弦定理及余弦定理有:
,
化简并整理得:2(a2-c2)=b2,
又a2-c2=b,
∴2b=b2,
解得:b=2或b=0(舍),
则b的值为2;
法二:由余弦定理得:a2-c2=b2-2bccosA,
又a2-c2=b,b≠0,
∴b=2ccosA+1①,
又sinAcosC=3cosAsinC,
∴sinAcosC+cosAsinC=4cosAsinC,
sin(A+C)=4cosAsinC,
即sinB=4cosAsinC,
由正弦定理得
,
∴b=4ccosA②,
由①②,解得b=2,
则b的值为2.
故答案为:2
点评:此题考查了正弦、余弦定理,两角和与差的正弦函数公式,以及诱导公式,熟练掌握定理及公式是解本题的关键.
解法二:由余弦定理得a2=b2+c2-2bccosA,变形后将a2-c2=b代入,再根据b不为0,两边除以b后,得到一个关系式,记作①,将sinAcosC=3cosAsinC两边都加上cosAsinC,左边利用两角和与差的正弦函数公式化简,再利用诱导公式变形,并根据正弦定理化简后,得到另外一个关系式,记作②,联立①②就求出b的值.
解答:解:法一:在△ABC中∵sinAcosC=3cosAsinC,
则由正弦定理及余弦定理有:
化简并整理得:2(a2-c2)=b2,
又a2-c2=b,
∴2b=b2,
解得:b=2或b=0(舍),
则b的值为2;
法二:由余弦定理得:a2-c2=b2-2bccosA,
又a2-c2=b,b≠0,
∴b=2ccosA+1①,
又sinAcosC=3cosAsinC,
∴sinAcosC+cosAsinC=4cosAsinC,
sin(A+C)=4cosAsinC,
即sinB=4cosAsinC,
由正弦定理得
∴b=4ccosA②,
由①②,解得b=2,
则b的值为2.
故答案为:2
点评:此题考查了正弦、余弦定理,两角和与差的正弦函数公式,以及诱导公式,熟练掌握定理及公式是解本题的关键.
练习册系列答案
相关题目