题目内容
执行如图的程序框图,如果输入p=5,则输出的S=( )A.
B.
C.
D.
【答案】分析:观察框图,属于循环结构中的直到型,S的初值为0,第一次执行循环体后加进去2-1,第二次执行循环体后加入2-2,..第n次执行循环体后加入2-n,由此明确其运算过程,
解答:解:由图可以看出,循环体被执行五次,第n次执行,对S作的运算就是加进去2-n
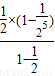
故S=2-1+2-2+…+2-5=
=
故选C
点评:本题考查程序框图循环结构,求解本题的关键是从图中解决两个问题一个是循环的次数,一个是做了什么运算,明白这两点,即可根据运算规则算了所求的数据,此类型的题是近几年高考中比较热的一种题型,以框图给出题面,用数列或是函数等别的知识进行计算,对此类型题要多加注意.
解答:解:由图可以看出,循环体被执行五次,第n次执行,对S作的运算就是加进去2-n
故S=2-1+2-2+…+2-5=
故选C
点评:本题考查程序框图循环结构,求解本题的关键是从图中解决两个问题一个是循环的次数,一个是做了什么运算,明白这两点,即可根据运算规则算了所求的数据,此类型的题是近几年高考中比较热的一种题型,以框图给出题面,用数列或是函数等别的知识进行计算,对此类型题要多加注意.
练习册系列答案
相关题目
A、
| ||
B、
| ||
C、
| ||
D、
|