题目内容
设等比数列{an}的公比
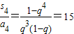
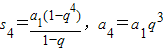
【答案】分析:先通过等比数列的求和公式,表示出S4,得知a4=a1q3,进而把a1和q代入
约分化简可得到答案.
解答:解:对于
,∴
点评:本题主要考查了等比数列中通项公式和求和公式的应用.属基础题.
解答:解:对于
点评:本题主要考查了等比数列中通项公式和求和公式的应用.属基础题.
练习册系列答案
相关题目
设等比数列{an}的前n项和为Sn,若8a2+a5=0,则下列式子中数值不能确定的是( )
A、
| ||
B、
| ||
C、
| ||
D、
|
设等比数列{an}的前n项和为Sn,若
=3,则
=( )
| S6 |
| S3 |
| S9 |
| S6 |
A、
| ||
B、
| ||
C、
| ||
| D、1 |