题目内容
已知各项均为正数的等比数列{an}中,a2=4,a4=16.(1)求公比q;
(2)若a3,a5分别为等差数列{bn}的第3项和第5项,求数列{bn}的通项公式.
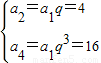
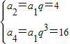
【答案】分析:(1)由已知得
解可得q值;
(2)由(1)可得b3=a3=8,b5=a5=32,可求公差d,进而可得其通项公式.
解答:解:(1)由已知得
,∴q2=4,…(4分)
又q>0,∴q=2.…(7分)
(2)由(1)可得
.∴b3=a3=8,b5=a5=32.
设等差数列{bn}的公差为d,则
,
∴an=8+(n-3)×12=12n-28.…(14分)
点评:本题为等差数列与等比数列的结合,准确求解公差和公比是解决问题的关键,属基础题.
(2)由(1)可得b3=a3=8,b5=a5=32,可求公差d,进而可得其通项公式.
解答:解:(1)由已知得
又q>0,∴q=2.…(7分)
(2)由(1)可得
设等差数列{bn}的公差为d,则
∴an=8+(n-3)×12=12n-28.…(14分)
点评:本题为等差数列与等比数列的结合,准确求解公差和公比是解决问题的关键,属基础题.
练习册系列答案
相关题目