题目内容
函数f(x)=(1)求实数c和d,并确定函数f(x)的解析式;
(2)判断f(x)在(-1,1)上的单调性,并用定义证明你的结论.
【答案】分析:(1)由函数f(x)是奇函数,可得f(0)=0,解得d=0.再由f(1)=
,可得 c=1.由此可得
函数的解析式.
(2)由函数的解析式可得函数在(-1,1)上是增函数,再利用函数的单调性的定义进行证明.
解答:解:(1)函数f(x)=
是定义在(-∞,+∞)上的奇函数,
可得f(0)=0,解得d=0.
再由f(1)=
=
,可得 c=1.
故函数的解析式为 f(x)=
.
(2)由函数的解析式可得函数在(-1,1)上是增函数.
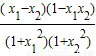
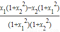
证明:设-1<x1<x2<1,则 f(x1)-f(x2)=
-
=
=
=
.
由题设可得 x1-x2<0,1-x1x2>0,∴
<0,
故有f(x1)-f(x2)<0,即 f(x1)<f(x2),故函数在(-1,1)上是增函数.
点评:本题主要考查函数的奇偶性的应用,函数的单调性的判断和证明,属于基础题.
函数的解析式.
(2)由函数的解析式可得函数在(-1,1)上是增函数,再利用函数的单调性的定义进行证明.
解答:解:(1)函数f(x)=
可得f(0)=0,解得d=0.
再由f(1)=
故函数的解析式为 f(x)=
(2)由函数的解析式可得函数在(-1,1)上是增函数.
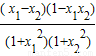
证明:设-1<x1<x2<1,则 f(x1)-f(x2)=
=
由题设可得 x1-x2<0,1-x1x2>0,∴
故有f(x1)-f(x2)<0,即 f(x1)<f(x2),故函数在(-1,1)上是增函数.
点评:本题主要考查函数的奇偶性的应用,函数的单调性的判断和证明,属于基础题.
练习册系列答案
相关题目