题目内容
设D是函数y=f(x)定义域内的一个区间,若存在x0∈D,使f(x0)=x0,则称x0是f(x)的一个不动点,也称f(x)在区间D上有不动点.
(1)证明f(x)=2x-2x-3在区间(1,4)上有不动点;
(2)若函数f(x)=ax2-x-a+
在区间[1,4]上有不动点,求常数a的取值范围.
(1)证明f(x)=2x-2x-3在区间(1,4)上有不动点;
(2)若函数f(x)=ax2-x-a+
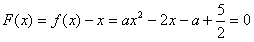
解:(1)依题意,“f(x)在区间D上有不动点”当且仅当“F(x)= f(x)-x在区间D上有零点”,
在区间[1,4]上是一条连续不断的曲线,
,
所以,函数F(x)= f(x)-x在区间(1,4)内有零点,
即
在区间(1,4)上有不动点。
(2)依题意,存在x∈[1,4],使
,
当x=1时,使
;
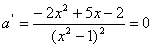
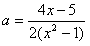
当x≠1时,解得
,
由
,得x=2或
(
,舍去),
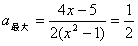
,
所以,当x=2时,
,
所以,常数a的取值范围是
。
所以,函数F(x)= f(x)-x在区间(1,4)内有零点,
即
(2)依题意,存在x∈[1,4],使
当x=1时,使
当x≠1时,解得
由
所以,当x=2时,
所以,常数a的取值范围是
练习册系列答案
相关题目