搜索
题目内容
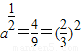
已知
,则
=
.
试题答案
相关练习册答案
【答案】
分析:
根据
可先求出a的值,然后代入即可得到答案.
解答:
解:∵
∴
∴
故答案为:4.
点评:
本题主要考查指数与对数的运算.指数与对数的运算法则一定要熟练掌握..
练习册系列答案
寒假生活宁夏人民教育出版社系列答案
全优假期作业本快乐寒假系列答案
新路学业快乐假期寒假总复习系列答案
举一反三期末百分冲刺卷系列答案
假期生活寒假方圆电子音像出版社系列答案
百年学典快乐假期寒假作业系列答案
复习大本营期末假期复习一本通寒假系列答案
五州图书超越假期寒假系列答案
特优复习计划期末冲刺寒假作业教材衔接系列答案
中考热点试题分类全解系列答案
相关题目
已知
,则f(1)=
.
已知
,则f(2)+f(-2)的值为( )
A.6
B.5
C.4
D.2
已知
,则
的值为
.
(1)由“若a,b,c∈R,则(ab)c=a(bc)”类比,若“
,
,
为三个向量,则•
=
•”;
(2)在数列a
n
中,a
1
=0,a
n+1
=2a
n
+2,猜想
;
(3)在平面内“三角形的两边之和大于第三边”类比在空间中“四面体的任意三个面的面积之和大于第四面的面积”;
(4)已知
,则a
1
+a
2
+…a
8
=256
上述四个推理中,得出的结论正确的个数是( )
A.1个
B.2个
C.3个
D.4个
已知
,则
。
关 闭
试题分类
高中
数学
英语
物理
化学
生物
地理
初中
数学
英语
物理
化学
生物
地理
小学
数学
英语
其他
阅读理解答案
已回答习题
未回答习题
题目汇总
试卷汇总
练习册解析答案