题目内容
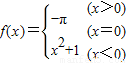
已知函数
【答案】分析:根据已知条件依次求出f(-1)、f(f(-1))、f(f(f(-1)))的值.
解答:解:∵已知
,
∴f(-1)=12+1=2,f(f(-1))=f(2)=0,
f(f(f(-1)))=f(0)=-π,
故答案为:-π.
点评:本题主要考查利用分段函数求函数的值的方法,体现了分类讨论的数学思想.
解答:解:∵已知
∴f(-1)=12+1=2,f(f(-1))=f(2)=0,
f(f(f(-1)))=f(0)=-π,
故答案为:-π.
点评:本题主要考查利用分段函数求函数的值的方法,体现了分类讨论的数学思想.
练习册系列答案
相关题目
| π |
| 2 |
A、f(x)=2sin(
| ||||
B、f(x)=2sin(
| ||||
C、f(x)=2sin(2x-
| ||||
D、f(x)=2sin(2x+
|