题目内容
若数列{an}的前n项和为Sn=
an+
,则数列{an}的通项公式是an=______.
【答案】
;
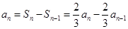
【解析】当
时,
;当
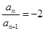
时,
,故
;所以
.
【考点定位】本题考查数列的前n项和与通项公式之间的关系,考查学生的化归与转化能力.
练习册系列答案
相关题目
题目内容
若数列{an}的前n项和为Sn=
an+
,则数列{an}的通项公式是an=______.
;
【解析】当
时,
;当
时,
,故
;所以
.
【考点定位】本题考查数列的前n项和与通项公式之间的关系,考查学生的化归与转化能力.