题目内容
已知椭圆C:
的离心率为
,右焦点到直线
的距离为
.
(Ⅰ)求椭圆C的方程;
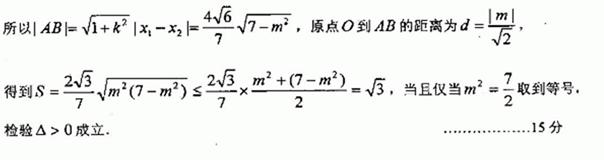
(Ⅱ)若直线
与椭圆C交于A、B两点,且线段AB中点恰好在直线
上,求△OAB的面积S的最大值.(其中O为坐标原点).
练习册系列答案
相关题目
题目内容
已知椭圆C:
的离心率为
,右焦点到直线
的距离为
.
(Ⅰ)求椭圆C的方程;
(Ⅱ)若直线
与椭圆C交于A、B两点,且线段AB中点恰好在直线
上,求△OAB的面积S的最大值.(其中O为坐标原点).