搜索
题目内容
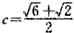
在△ABC中,已知
,求A、C、c。
试题答案
相关练习册答案
解:由正弦定理得
∴∠A=60°或∠A=120°,
当∠A=60°时,∠C=75° ,
当∠A=120°时,∠C=15°,
。
练习册系列答案
学业评价测评卷系列答案
同步检测卷系列答案
长沙中考系列答案
小学单元同步核心密卷系列答案
长江全能学案英语听力训练系列答案
随堂练习册课时练系列答案
中考整合集训系列答案
阳光课堂口算题系列答案
快乐每一天神算手天天练系列答案
小学教材全解全析系列答案
相关题目
在△ABC中,已知A=30°,B=120°,b=12,求a,c.
在△ABC中,已知
b=
2
,c=1,B=45°,求a,A,C.
在△ABC中,已知高AN和BM所在直线方程分别为x+5y-3=0和x+y-1=0,边AB所在直线方程x+3y-1=0,求直线BC,CA及AB边上的高所在直线方程.
在△ABC中,已知lgsinA-lgcosB-lgsinC=lg2,则三角形一定是( )
A.等腰三角形
B.等边三角形
C.直角三角形
D.钝角三角形
在△ABC中,已知b=1,c=3,A=120°,则a=
.
关 闭
试题分类
高中
数学
英语
物理
化学
生物
地理
初中
数学
英语
物理
化学
生物
地理
小学
数学
英语
其他
阅读理解答案
已回答习题
未回答习题
题目汇总
试卷汇总
练习册解析答案