题目内容
19.如图,在四棱锥![]()
(Ⅰ)证明
;
(Ⅱ)证明
平面
;
(Ⅲ)求二面角
的大小.
(Ⅰ)证明:在四棱锥
中,因
底面
,
平面
,故
.
,
平面
.
而
平面
,
.
(Ⅱ)证明:由
,
,可得
.
是
的中点,
.
由(Ⅰ)知,
,且
,所以
平面
.
而
平面
,
.
底面
在底面
内的射影是
,
,
.
又
,综上得
平面
.
(Ⅲ)解法一:过点
作
,垂足为
,连结
.则(Ⅱ)知,
平面
,
在平面
内的射影是
,则
.
因此
是二面角
的平面角.
由已知,得
.设
,
可得
.
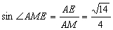
在
中,
,
,
![]()
则
.
在
中,
.
所以二面角
的大小是
.
解法二:由题设
底面
,
平面
,则平面
平面
,交线为
.
![]()
过点
作
,垂足为
,故
平面
.过点
作
,垂足为
,连结
,故
.因此
是二面角
的平面角.
由已知,可得
,设
,
可得
.
,
.
于是,
.
在
中,
.
所以二面角
的大小是
.
练习册系列答案
相关题目