题目内容
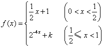
已知函数
在区间(0,1)内连续,且f(c2)=
,
(1)求实数k和c的值;
(2)解不等式f(x)>
+1。
(1)求实数k和c的值;
(2)解不等式f(x)>
解:(1)因为0<c<1,所以
,
由
,即
,
又因为
在
处连续,
所以
,即k=1;
(2)由(1)得:
,
由
得,当
时,解得
;
当
时,解得
;
所以
的解集为
。
由
又因为
所以
(2)由(1)得:
由
当
所以
练习册系列答案
相关题目
题目内容