题目内容
已知函数(1)求证:不论a为何实数f(x)总是为增函数;
(2)确定a的值,使f(x)为奇函数;
(3)当f(x)为奇函数时,求f(x)的值域.
【答案】分析:(1)先设x1<x2,欲证明不论a为何实数f(x)总是为增函数,只须证明:f(x1)-f(x2)<0,即可;
(2)根据f(x)为奇函数,利用定义得出f(-x)=-f(x),从而求得a值即可;
(3)由(2)知
(4),利用指数函数2x的性质结合不等式的性质即可求得f(x)的值域.
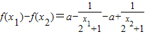
解答:解:(1)∵f(x)的定义域为R,设x1<x2,
则
=
,
∵x1<x2,∴
,∴f(x1)-f(x2)<0,
即f(x1)<f(x2),所以不论a为何实数f(x)总为增函数.
(2)∵f(x)为奇函数,∴f(-x)=-f(x),即
,
解得:
.∴
.
(3)由(2)知
(4),∵2x+1>1(5),∴
(6),∴
,∴
所以f(x)的值域为
.
点评:本小题主要考查函数单调性的应用、函数奇偶性的应用、不等式的解法等基础知识,考查运算求解能力与化归与转化思想.属于基础题.
(2)根据f(x)为奇函数,利用定义得出f(-x)=-f(x),从而求得a值即可;
(3)由(2)知
解答:解:(1)∵f(x)的定义域为R,设x1<x2,
则
∵x1<x2,∴
即f(x1)<f(x2),所以不论a为何实数f(x)总为增函数.
(2)∵f(x)为奇函数,∴f(-x)=-f(x),即
解得:
(3)由(2)知
所以f(x)的值域为
点评:本小题主要考查函数单调性的应用、函数奇偶性的应用、不等式的解法等基础知识,考查运算求解能力与化归与转化思想.属于基础题.
练习册系列答案
相关题目