题目内容
设数列{an}是首项为a1(a1>0),公差为2的等差数列,其前n项和为Sn,且(Ⅰ)求数列{an]的通项公式;
(Ⅱ)记
【答案】分析:(I)有数列{an}是首项为a1(a1>0),公差为2的等差数列且
成等差数列,可以先求出数列的首项即可;
(II)有 (I)和
,求出数列bn的通项,有通项求出前n项和为Tn.
解答:解:(Ⅰ)∵S1=a1,S2=a1+a2=2a1+2,S3=a1+a2+a3=3a1+6,
由
成等差数列得,
,即
,
解得a1=1,故an=2n-1;
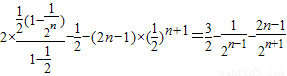
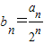
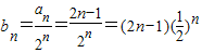
(Ⅱ)
,
,①
①×
得,
,②
①-②得,
=
,
∴
.
点评:此题考查了等差数列的通项公式及等差中项,还考查了错位相减法求数列的前n项的和.
(II)有 (I)和
解答:解:(Ⅰ)∵S1=a1,S2=a1+a2=2a1+2,S3=a1+a2+a3=3a1+6,
由
解得a1=1,故an=2n-1;
(Ⅱ)
①×
①-②得,
∴
点评:此题考查了等差数列的通项公式及等差中项,还考查了错位相减法求数列的前n项的和.
练习册系列答案
相关题目
设数列{an}是首项为1公比为3的等比数列,把{an}中的每一项都减去2后,得到一个新数列{bn},{bn}的前n项和为Sn,对任意的n∈N*,下列结论正确的是( )
A、bn+1=3bn,且Sn=
| ||
B、bn+1=3bn-2,且Sn=
| ||
C、bn+1=3bn+4,且Sn=
| ||
D、bn+1=3bn-4,且Sn=
|