题目内容
函数y=lg(ax2-2ax+2)的定义域为R,则a的取值范围是 .
【答案】分析:由题意可得 t=ax2-2ax+2>0恒成立,分a=0和a≠0两种情况,分别求出a的取值范围,再取并集,即得所求.
解答:解:∵函数y=lg(ax2-2ax+2)的定义域为R,∴t=ax2-2ax+2>0恒成立.
当a=0时,t=2,满足条件.
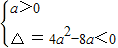
当a≠0时,由
可得 0<a<2.
总上可得,0≤a<2,
故答案为[0,2).
点评:本题主要考查对数函数的定义域,函数的恒成立问题,体现了分类讨论的数学思想,属于基础题.
解答:解:∵函数y=lg(ax2-2ax+2)的定义域为R,∴t=ax2-2ax+2>0恒成立.
当a=0时,t=2,满足条件.
当a≠0时,由
总上可得,0≤a<2,
故答案为[0,2).
点评:本题主要考查对数函数的定义域,函数的恒成立问题,体现了分类讨论的数学思想,属于基础题.
练习册系列答案
相关题目