题目内容
已知函数(1)是否存在实数a使得f(x)为奇函数?若存在,求出a的值并证明;若不存在,说明理由;
(2)在(1)的条件下判断f(x)的单调性,并用定义加以证明.
【答案】分析:(1)利用函数的奇偶性即可判断出;
(2)先判断函数的单调性,再利用函数的单调性的定义即可证明其单调性.
解答:解:(1)存在a使得函数f(x)为奇函数.
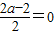
证明:假设存在这样的a的值,∵函数f(x)的定义域为实数集R,∴f(0)=0,∴
,解得a=1.
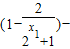
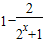
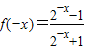
当a=1时,f(x)=
.
∵
=
=-f(x),
∴a=1时,函数f(x)为奇函数.
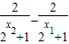
(2)在(1)的条件下,f(x)=
=
=
在实数集R上单调递增.
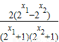
证明:?x1<x2,
则f(x1)-f(x2)=
=
=
,
∵x1<x2,∴
,
,
.
∴f(x1)-f(x2)<0,即f(x1)<f(x2)
∴函数f(x)在R上单调递增.
点评:熟练掌握函数的奇偶性和单调性是解题的关键.
(2)先判断函数的单调性,再利用函数的单调性的定义即可证明其单调性.
解答:解:(1)存在a使得函数f(x)为奇函数.
证明:假设存在这样的a的值,∵函数f(x)的定义域为实数集R,∴f(0)=0,∴
当a=1时,f(x)=
∵
∴a=1时,函数f(x)为奇函数.
(2)在(1)的条件下,f(x)=
证明:?x1<x2,
则f(x1)-f(x2)=
=
∵x1<x2,∴
∴f(x1)-f(x2)<0,即f(x1)<f(x2)
∴函数f(x)在R上单调递增.
点评:熟练掌握函数的奇偶性和单调性是解题的关键.
练习册系列答案
相关题目