题目内容
若集A={(x,y)|x2+mx-y+2=0,x∈R},B={(x,y)|x-y+1=0,0≤x≤2}当A∩B≠∅时,求实数m的取值范围.
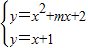
【答案】分析:由A∩B≠∅,将问题转化为方程组
在[0,2]上有解,即x2+(m-1)x+1=0在[0,2]上有解,构造函数f(x)=x2+(m-1)x+1,则函数在[0,2]上有零点,结合二次函数的图象和性质及零点存在定理,可得实数m的取值范围.
解答:解:问题等价于方程组
在[0,2]上有解,
即x2+(m-1)x+1=0在[0,2]上有解,
令f(x)=x2+(m-1)x+1,
则由f(0)=1知抛物线y=f(x)过点(0,1),
∴抛物线y=f(x)在[0,2]上与x轴有交点等价于f(2)=22+2(m-1)+1≤0 ①
或
②
由①得m≤-
,由②得-
<m≤-1,
∴实数m的取值范围为(-∞,-1].
点评:本题考查的知识点是集合关系中的参数取值问题,方程的根与函数零点之间的关系,其中将集合有公共元素转化为方程组有解,再转化为函数有零点,进而借助函数的图象和性质进行解答是本题的关键.
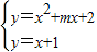
解答:解:问题等价于方程组
即x2+(m-1)x+1=0在[0,2]上有解,
令f(x)=x2+(m-1)x+1,
则由f(0)=1知抛物线y=f(x)过点(0,1),
∴抛物线y=f(x)在[0,2]上与x轴有交点等价于f(2)=22+2(m-1)+1≤0 ①
或
由①得m≤-
∴实数m的取值范围为(-∞,-1].
点评:本题考查的知识点是集合关系中的参数取值问题,方程的根与函数零点之间的关系,其中将集合有公共元素转化为方程组有解,再转化为函数有零点,进而借助函数的图象和性质进行解答是本题的关键.
练习册系列答案
相关题目