题目内容
已知正三棱锥P-ABC,点P,A,B,C都在半径为
【答案】分析:先利用正三棱锥的特点,将球的内接三棱锥问题转化为球的内接正方体问题,从而将所求距离转化为正方体中,中心到截面的距离问题,利用等体积法可实现此计算
解答:解:∵正三棱锥P-ABC,PA,PB,PC两两垂直,
∴此正三棱锥的外接球即以PA,PB,PC为三边的正方体的外接圆O,
∵圆O的半径为
,
∴正方体的边长为2,即PA=PB=PC=2
球心到截面ABC的距离即正方体中心到截面ABC的距离
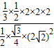
设P到截面ABC的距离为h,则正三棱锥P-ABC的体积V=
S△ABC×h=
S△PAB×PC=
×
×2×2×2=2
△ABC为边长为2
的正三角形,S△ABC=
×
×
∴h=
=
=
∴正方体中心O到截面ABC的距离为
-
=
故答案为
点评:本题主要考球的内接三棱锥和内接正方体间的关系及其相互转化,棱柱的几何特征,球的几何特征,点到面的距离问题的解决技巧,有一定难度,属中档题
解答:解:∵正三棱锥P-ABC,PA,PB,PC两两垂直,
∴此正三棱锥的外接球即以PA,PB,PC为三边的正方体的外接圆O,
∵圆O的半径为
∴正方体的边长为2,即PA=PB=PC=2
球心到截面ABC的距离即正方体中心到截面ABC的距离
设P到截面ABC的距离为h,则正三棱锥P-ABC的体积V=
△ABC为边长为2
∴h=
∴正方体中心O到截面ABC的距离为
故答案为
点评:本题主要考球的内接三棱锥和内接正方体间的关系及其相互转化,棱柱的几何特征,球的几何特征,点到面的距离问题的解决技巧,有一定难度,属中档题
练习册系列答案
相关题目