题目内容
f(x)是一次函数,满足2f(x+1)=2x+16,则f(x)= .
【答案】分析:设f(x)=kx+b则可得,2f(2x+1)=2[k(2x+1)+b]=4kx+b+2=2x+16,从而可求k,b的值,进而可求函数的解析式
解答:解:设f(x)=kx+b
则2f(2x+1)=2[k(2x+1)+b]=4kx+b+2=2x+16
∴4k=2,b+2=16,
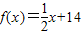
∴
故答案为:
点评:本题主要考查了利用待定系数法求解函数的解析式,属于基本方法的简单应用,属于基础试题.
解答:解:设f(x)=kx+b
则2f(2x+1)=2[k(2x+1)+b]=4kx+b+2=2x+16
∴4k=2,b+2=16,
∴
故答案为:
点评:本题主要考查了利用待定系数法求解函数的解析式,属于基本方法的简单应用,属于基础试题.
练习册系列答案
相关题目