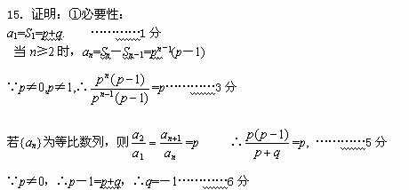
题目内容
已知数列
的前n项和
,求证数列
是等比数列的充要条件是![]()
![]()
②充分性
当q=-1时,∴Sn=pn-1(p≠0,p≠1),a1=S1=p-1…………7分
当n≥2时,an=Sn-Sn-1=pn-pn-1=pn-1(p-1)
∴an=(p-1)pn-1 (p≠0,p≠1) …………9分
=p为常数…………11分
∴q=-1时,数列{an}为等比数列.即数列{an}是等比数列的充要条件为q=-1. …12分
练习册系列答案
相关题目
题目内容
已知数列
的前n项和
,求证数列
是等比数列的充要条件是![]()
![]()
②充分性
当q=-1时,∴Sn=pn-1(p≠0,p≠1),a1=S1=p-1…………7分
当n≥2时,an=Sn-Sn-1=pn-pn-1=pn-1(p-1)
∴an=(p-1)pn-1 (p≠0,p≠1) …………9分
=p为常数…………11分
∴q=-1时,数列{an}为等比数列.即数列{an}是等比数列的充要条件为q=-1. …12分