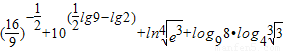
题目内容
计算
【答案】分析:利用对数的运算性质,把:
等价转化为
+
+
+
•
,由此能够求出结果.
解答:解:
=
+
+
+
•
=
+
+
+
=4.
故答案为:4.
点评:本题考查对数的运算性质,是基础题.解题时要认真审题,仔细解答,注意对数的运算性质的合理运用.
解答:解:
=
=
=4.
故答案为:4.
点评:本题考查对数的运算性质,是基础题.解题时要认真审题,仔细解答,注意对数的运算性质的合理运用.
练习册系列答案
相关题目