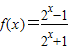
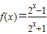
题目内容
已知函数(1)判断f(x)的奇偶性并给出证明;
(2)若f(x)=2x•k有两个不同的实数根,求k的取值范围.
【答案】分析:(1)要判定函数的奇偶性,只有按照定义进行,即先求函数的定义域,再判定f(-x)与f(x)的关系.
(2)若方程有两个不等的实根,则说明等号左右的两个函数有两个不同的交点,可以转化为一元二次方程用△来处理.
解答:解:函数
为R上的奇函数.
证明:由题得函数的定义域为R,关于原点对称.
又f(-x)=
=
=
=-f(x)
故函数
在R上为奇函数.
(2)由f(x)=2x•k 整理得:
=
=2x•k
设2x=t,则t>0,上式可化为1-
,
化简得kt2+(k-1)t+1=0,由题可知该式有两个不等的实根.
所以,判别式△=(k-1)2-4k>0
解得,k
,或
.
故k的取值范围为 k
,或
.
点评:1、定义域关于原点对称是函数具有奇偶性的必要(但不充分)条件.
2、判定函数奇偶性常见步骤:
①判定其定义域是否关于原点对称,
②判定f(x)与f(-x)的关系.
(2)若方程有两个不等的实根,则说明等号左右的两个函数有两个不同的交点,可以转化为一元二次方程用△来处理.
解答:解:函数
证明:由题得函数的定义域为R,关于原点对称.
又f(-x)=
故函数
(2)由f(x)=2x•k 整理得:
设2x=t,则t>0,上式可化为1-
化简得kt2+(k-1)t+1=0,由题可知该式有两个不等的实根.
所以,判别式△=(k-1)2-4k>0
解得,k
故k的取值范围为 k
点评:1、定义域关于原点对称是函数具有奇偶性的必要(但不充分)条件.
2、判定函数奇偶性常见步骤:
①判定其定义域是否关于原点对称,
②判定f(x)与f(-x)的关系.
练习册系列答案
相关题目