题目内容
等差数列{an}中,前三项分别为x,2x,5x-4,前n项和为Sn,且Sk=72.(1)求x和k的值;
(2)求Tn=
【答案】分析:(1)根据等差数列{an}中,前三项分别为x,2x,5x-4建立方程,求出x,然后求出前n项和为Sn,最后根据Sk=72可求出k的值;
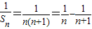
(2)根据
,利用裂项求和法可求出Tn=
的值.
解答:解:(1)由4x=x+5x-4得x=2,…(3分)
∴an=2n,Sn=n(n+1),
∵Sk=72
∴k(k+1)=72得k=8.…(6分)
(2)∵Sn=n(n+1),∴
.…(9分)
∴
.…(12分)
点评:本题主要考查了等差数列的通项公式和求和,以及利用裂项求和法求数列的和,同时考查了运算求解的能力,属于基础题.
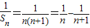
(2)根据
解答:解:(1)由4x=x+5x-4得x=2,…(3分)
∴an=2n,Sn=n(n+1),
∵Sk=72
∴k(k+1)=72得k=8.…(6分)
(2)∵Sn=n(n+1),∴
∴
点评:本题主要考查了等差数列的通项公式和求和,以及利用裂项求和法求数列的和,同时考查了运算求解的能力,属于基础题.
练习册系列答案
相关题目