题目内容
设计求1+3+5+7+…+31的算法,并画出相应的流程图.
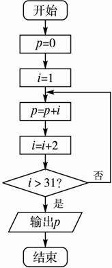
解:算法如下:?
第一步:p=0;?
第二步:i=1;?
第三步:p=p+i;?
第四步:i=i+2;?
第五步:如果i不大于31,返回重新执行第三步、第四步、第五步,否则,算法结束,最后得到的p值就是1+3+5+7+…+31的值.?
流程图如图所示.?
![]()
练习册系列答案
相关题目
题目内容
设计求1+3+5+7+…+31的算法,并画出相应的流程图.
解:算法如下:?
第一步:p=0;?
第二步:i=1;?
第三步:p=p+i;?
第四步:i=i+2;?
第五步:如果i不大于31,返回重新执行第三步、第四步、第五步,否则,算法结束,最后得到的p值就是1+3+5+7+…+31的值.?
流程图如图所示.?
![]()