题目内容

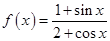
已知函数f(x)=-ax(a∈R)既有最大值又有最小值,则f(x)值域为_______.

 

【答案】

【解析】

试题分析:若,则的值域为,会使无最大最小值,故,所以,令,则,即,故,解得,所以f(x)值域为.

考点:三角函数性质、函数值域的求法.

 

练习册系列答案
相关题目

违法和不良信息举报电话:027-86699610 举报邮箱:58377363@163.com

精英家教网