题目内容
设三棱柱的侧棱垂直于底面,所有棱长都为a,顶点都在一个球面上,则该球的表面积为( )A.πa2
B.
C.
D.C1
【答案】分析:由题意可知上下底面中心连线的中点就是球心,求出球的半径,即可求出球的表面积.
解答:解:根据题意条件可知三棱柱是棱长都为a的正三棱柱,上下底面中心连线的中点就是球心,则其外接球的半径为
,
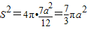
球的表面积为
,
故选B.
点评:本题主要考查空间几何体中位置关系、球和正棱柱的性质以及相应的运算能力和空间形象能力.
解答:解:根据题意条件可知三棱柱是棱长都为a的正三棱柱,上下底面中心连线的中点就是球心,则其外接球的半径为
球的表面积为
故选B.
点评:本题主要考查空间几何体中位置关系、球和正棱柱的性质以及相应的运算能力和空间形象能力.
练习册系列答案
相关题目
设三棱柱的侧棱垂直于底面,所有棱长都为a,顶点都在一个球面上,则该球的表面积为( )
| A、πa2 | ||
B、
| ||
C、
| ||
| D、5πa2 |