题目内容
(坐标系与参数方程选做题)在平面直角坐标系xOy中,曲线C1与C2的参数方程分别为
【答案】分析:把曲线C1与C2的参数方程分别化为普通方程,解出对应的方程组的解,即得曲线C1与C2的交点坐标.
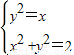
解答:解:在平面直角坐标系xOy中,曲线C1与C2的普通方程分别为 y2=x,x2+y2=2.
解方程组
可得
,故曲线C1与C2的交点坐标为(1,1),
故答案为 (1,1).
点评:本题主要考查把参数方程化为普通方程的方法,求两条曲线的交点坐标,属于中档题.
解答:解:在平面直角坐标系xOy中,曲线C1与C2的普通方程分别为 y2=x,x2+y2=2.
解方程组
故答案为 (1,1).
点评:本题主要考查把参数方程化为普通方程的方法,求两条曲线的交点坐标,属于中档题.
练习册系列答案
相关题目