题目内容
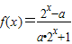
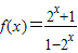
如果函数f(x)=A.[-1,1]
B.(-1,1]
C.(-1,1)
D.以上都不对
【答案】分析:由奇函数定义求出a的值,然后通过变形使得函数式变为只是分母含有未知量的函数,最后根据取值变化求出函数值域.
解答:解:∵函数
为奇函数
∴f(-x)+f(x)=0恒成立.
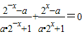
∴
恒成立.
∴
=
=
恒成立
∴1-a2=0
∵a<0
∴a=-1
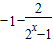
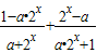
∴
=
∵2x>0且2x≠1
∴2x-1>-1,且2x-1≠0
∴
∴
∴
即函数值域为
f(x)<-1,或f(x)>1,}
故选D
点评:本题主要考查函数的性质及应用、函数值域的求法,对运算能力要求较高.
解答:解:∵函数
∴f(-x)+f(x)=0恒成立.
∴
∴
∴1-a2=0
∵a<0
∴a=-1
∴
∵2x>0且2x≠1
∴2x-1>-1,且2x-1≠0
∴
∴
∴
即函数值域为
故选D
点评:本题主要考查函数的性质及应用、函数值域的求法,对运算能力要求较高.
练习册系列答案
相关题目