题目内容
设Sn是公差不为0的等差数列{an}的前n项和,且S1,S2,S4成等比数列,
(1)求
的值;
(2)若a5=9,求an及Sn的表达式.
(1)求
(2)若a5=9,求an及Sn的表达式.
解:(1)设等差数列{an}的公差是d,
∵S1,S2,S4成等比数列,
∴S22=S1S4,即(2a1+d)2=a1(4a1+6d),
化简得d2=2a1d,
注意到d≠0,
∴d=2a1,
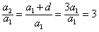
∴
。
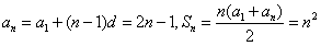
(2)
,∴
,
∴
。
∵S1,S2,S4成等比数列,
∴S22=S1S4,即(2a1+d)2=a1(4a1+6d),
化简得d2=2a1d,
注意到d≠0,
∴d=2a1,
∴
(2)
∴
练习册系列答案
相关题目
设Sn是公差不为0的等差数列{an}的前n项和,且S1,S2,S4成等比数列,则
等于( )
| a2 |
| a1 |
| A、1 | B、2 | C、3 | D、4 |