题目内容
已知函数y=(1)令t=log2x,求y关于t的函数关系式,t的范围.
(2)求该函数的值域.
【答案】分析:(1)由y=(log2x-2)(
=
-
log2x+1,令t=log2x,则可求y关于t的关系,结合对数函数的性质可求t的范围
(2)由
=
,结合二次函数的性质可求函数的值域
解答:解:(1)∵y=(log2x-2)(
=
-
log2x+1
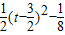
令t=log2x,
则
=
∵2≤x≤4
∴1≤t≤2
(2)∵
=
由二次函数的性质可知,当
时,
当t=1或2时,ymax=0
∴函数的值域是
点评:本题主要考查了对数函数的值域的求解,二次函数的值域的求解,属于二次函数与对数函数的综合考查
(2)由
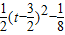
解答:解:(1)∵y=(log2x-2)(
令t=log2x,
则
∵2≤x≤4
∴1≤t≤2
(2)∵
由二次函数的性质可知,当
当t=1或2时,ymax=0
∴函数的值域是
点评:本题主要考查了对数函数的值域的求解,二次函数的值域的求解,属于二次函数与对数函数的综合考查
练习册系列答案
相关题目