题目内容
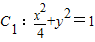
已知椭圆
【答案】分析:求出椭圆
的长轴长,离心率,根据椭圆C2以C1的长轴为短轴,且与C1有相同的离心率,即可确定椭圆C2的方程.
解答:解:椭圆
的长轴长为4,离心率为e=
∵椭圆C2以C1的长轴为短轴,且与C1有相同的离心率
∴椭圆C2的焦点在y轴上,2b=4,离心率为e=
=
∴b=2,a=4
∴椭圆C2的方程为
=1;
故答案为:
=1.
点评:本题考查椭圆的标准方程,考查椭圆的简单性质,解题的关键是掌握椭圆几何量关系,属于基础题.
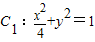
解答:解:椭圆
∵椭圆C2以C1的长轴为短轴,且与C1有相同的离心率
∴椭圆C2的焦点在y轴上,2b=4,离心率为e=
∴b=2,a=4
∴椭圆C2的方程为
故答案为:
点评:本题考查椭圆的标准方程,考查椭圆的简单性质,解题的关键是掌握椭圆几何量关系,属于基础题.
练习册系列答案
相关题目